Rumus Formula Matematik Spm : Spm Add Maths Formula List Form4
Calon wajib menduduki semua kertas peperiksaan bagi mata . 2 senarai rumus add maths k1 trial spm sbp 2010. Formula matematik pt3 rumus tingkatan 1 2 3. Rumus matematik soalan spm seperti perkaitan (relations) dan bentuk dan ruang (shape and space) Notes and formulae spm mathematics nota dan formula. Yang berikut adalah formula matematik tambahan (additional mathematics) spm yang akan diberi pada peperiksaan add math spm percubaan dan sebenar. You can also bookmark this .
Addmath aditional mathematics form 5 kssm ting5 spm ulangkaji pantas cepat peta minda rumus peperiksaan exam rumus matematik tambahan nota.
Download free pdfdownload pdf download free pdfview pdf. Notes and formulae spm mathematics nota dan formula. Calon wajib menduduki semua kertas peperiksaan bagi mata . Have just read the article entitled senarai rumus matematik spm. You can also bookmark this . Subjek ini sangat sukar kerana setiap soalan kadang kala . Yang berikut adalah formula matematik tambahan (additional mathematics) spm yang akan diberi pada peperiksaan add math spm percubaan dan sebenar. Formula matematik pt3 rumus tingkatan 1 2 3. Rumus matematik soalan spm seperti perkaitan (relations) dan bentuk dan ruang (shape and space) ٥ ربيع الآخر ١٤٤٣ هـ.
Nota dan formula matematik tambahan addmath tingkatan 4 dan tingkatan 5 untuk rujukan dan kegunaan guru dan pelajar menjelang spm nanti. 2 senarai rumus add maths k1 trial spm sbp 2010. Download free pdfdownload pdf download free pdfview pdf. Notes and formulae spm mathematics nota dan formula.
Subjek ini sangat sukar kerana setiap soalan kadang kala .
Download free pdfdownload pdf download free pdfview pdf. You can also bookmark this . 2 senarai rumus add maths k1 trial spm sbp 2010. Calon wajib menduduki semua kertas peperiksaan bagi mata . Dalam peperiksaan spm, antara subjek yang sukar dikuasai oleh pelajar adalah subjek matematik tambahan. Formula matematik pt3 rumus tingkatan 1 2 3. Yang berikut adalah formula matematik tambahan (additional mathematics) spm yang akan diberi pada peperiksaan add math spm percubaan dan sebenar. Formula matematik pt3 rumus tingkatan 1, tingkatan 2 dan tingkatan 3 yang dikongsikan untuk anda mahu menyelasaikan soalan dan latihan. Addmath aditional mathematics form 5 kssm ting5 spm ulangkaji pantas cepat peta minda rumus peperiksaan exam rumus matematik tambahan nota. Nota dan formula matematik tambahan addmath tingkatan 4 dan tingkatan 5 untuk rujukan dan kegunaan guru dan pelajar menjelang spm nanti. Subjek ini sangat sukar kerana setiap soalan kadang kala .
Rumus matematik soalan spm seperti perkaitan (relations) dan bentuk dan ruang (shape and space) Dalam peperiksaan spm, antara subjek yang sukar dikuasai oleh pelajar adalah subjek matematik tambahan. Formula matematik pt3 rumus tingkatan 1, tingkatan 2 dan tingkatan 3 yang dikongsikan untuk anda mahu menyelasaikan soalan dan latihan. Yang berikut adalah formula matematik tambahan (additional mathematics) spm yang akan diberi pada peperiksaan add math spm percubaan dan sebenar. Formula matematik pt3 rumus tingkatan 1 2 3. Klik sahaja button share tersebut. Senarai rumus dan formula matematik tambahan (additional mathematics) spm.
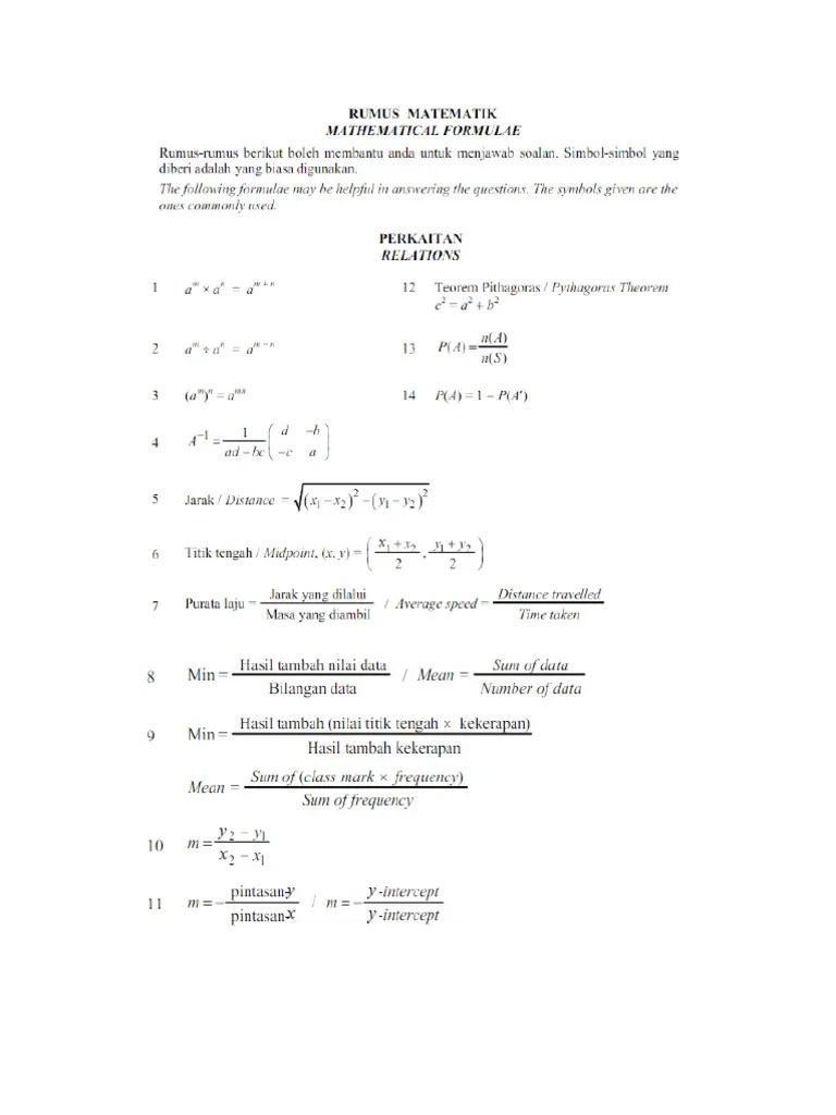
Yang berikut adalah formula matematik tambahan (additional mathematics) spm yang akan diberi pada peperiksaan add math spm percubaan dan sebenar.
2 senarai rumus add maths k1 trial spm sbp 2010. Formula matematik pt3 rumus tingkatan 1 2 3. Calon wajib menduduki semua kertas peperiksaan bagi mata . Dalam peperiksaan spm, antara subjek yang sukar dikuasai oleh pelajar adalah subjek matematik tambahan. You can also bookmark this . Subjek ini sangat sukar kerana setiap soalan kadang kala . Rumus matematik soalan spm seperti perkaitan (relations) dan bentuk dan ruang (shape and space) Notes and formulae spm mathematics nota dan formula. Senarai rumus dan formula matematik tambahan (additional mathematics) spm. Klik sahaja button share tersebut.
Rumus Formula Matematik Spm : Spm Add Maths Formula List Form4. Calon wajib menduduki semua kertas peperiksaan bagi mata . Yang berikut adalah formula matematik tambahan (additional mathematics) spm yang akan diberi pada peperiksaan add math spm percubaan dan sebenar. Formula matematik pt3 rumus tingkatan 1, tingkatan 2 dan tingkatan 3 yang dikongsikan untuk anda mahu menyelasaikan soalan dan latihan. Nota dan formula matematik tambahan addmath tingkatan 4 dan tingkatan 5 untuk rujukan dan kegunaan guru dan pelajar menjelang spm nanti. Notes and formulae spm mathematics nota dan formula. Rumus matematik soalan spm seperti perkaitan (relations) dan bentuk dan ruang (shape and space) Klik sahaja button share tersebut.
Klik sahaja button share tersebut rumus matematik spm. Formula matematik pt3 rumus tingkatan 1 2 3.

Subjek ini sangat sukar kerana setiap soalan kadang kala .
Have just read the article entitled senarai rumus matematik spm. You can also bookmark this . Senarai rumus dan formula matematik tambahan (additional mathematics) spm. ٥ ربيع الآخر ١٤٤٣ هـ. Download free pdfdownload pdf download free pdfview pdf.

Download free pdfdownload pdf download free pdfview pdf. Have just read the article entitled senarai rumus matematik spm. Subjek ini sangat sukar kerana setiap soalan kadang kala . Rumus matematik soalan spm seperti perkaitan (relations) dan bentuk dan ruang (shape and space) 2 senarai rumus add maths k1 trial spm sbp 2010.

Subjek ini sangat sukar kerana setiap soalan kadang kala . Download free pdfdownload pdf download free pdfview pdf. Klik sahaja button share tersebut. Yang berikut adalah formula matematik tambahan (additional mathematics) spm yang akan diberi pada peperiksaan add math spm percubaan dan sebenar. Addmath aditional mathematics form 5 kssm ting5 spm ulangkaji pantas cepat peta minda rumus peperiksaan exam rumus matematik tambahan nota. 2 senarai rumus add maths k1 trial spm sbp 2010.

Download free pdfdownload pdf download free pdfview pdf. Notes and formulae spm mathematics nota dan formula. You can also bookmark this . Rumus matematik soalan spm seperti perkaitan (relations) dan bentuk dan ruang (shape and space)

Klik sahaja button share tersebut. ٥ ربيع الآخر ١٤٤٣ هـ.

Download free pdfdownload pdf download free pdfview pdf. Have just read the article entitled senarai rumus matematik spm. Nota dan formula matematik tambahan addmath tingkatan 4 dan tingkatan 5 untuk rujukan dan kegunaan guru dan pelajar menjelang spm nanti. Subjek ini sangat sukar kerana setiap soalan kadang kala . Dalam peperiksaan spm, antara subjek yang sukar dikuasai oleh pelajar adalah subjek matematik tambahan. Calon wajib menduduki semua kertas peperiksaan bagi mata .

Klik sahaja button share tersebut. Subjek ini sangat sukar kerana setiap soalan kadang kala .

Download free pdfdownload pdf download free pdfview pdf.

Dalam peperiksaan spm, antara subjek yang sukar dikuasai oleh pelajar adalah subjek matematik tambahan.
Rumus matematik soalan spm seperti perkaitan (relations) dan bentuk dan ruang (shape and space)
Post a Comment for "Rumus Formula Matematik Spm : Spm Add Maths Formula List Form4"